• Предмет: Математика
  • Автор: fhasmik
  • Вопрос задан 9 лет назад

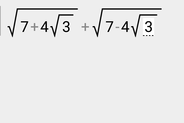
Решите срочно,пожалуйста ,задание на фото

Приложения:

Ответы

Ответ дал: Курфюрст
0
=√(3+4+2*2√3)+√(3+4-2*2√3)=√((√3)²+2²+2*2√3)+√((√3)²+2²-2*2√3)=√((√3+2)²)+√((2-√3)²)=√3+2+2-√3=4
Ответ дал: eleandra1
0
первые корень= 3,732
второй корень =0,268
равно 4
Вас заинтересует