Помогите, пожалуйста!
Нужно составить схему правильно к предложению
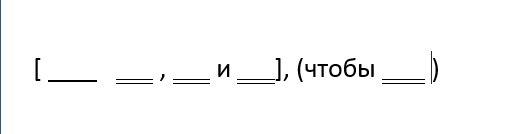
Статуя ожила, опустила руки и повернула голову, чтобы посмотреть на Дугласа.
Ответы
Ответ дал:
2
Вот. А мне требуются задания КИТа 2016-17 для 8-9 класса.
Приложения:

Ответ дал:
1
[ _ =,= и =, чтобы =].
Это простое предложение.
Примечание. Сказуемые (=) необходимо обвести в кружок, так как они являются однородными членами предложения.
Это простое предложение.
Примечание. Сказуемые (=) необходимо обвести в кружок, так как они являются однородными членами предложения.
Вас заинтересует
1 год назад
2 года назад
2 года назад
3 года назад
8 лет назад
8 лет назад