• Предмет: Химия
  • Автор: zhannna26
  • Вопрос задан 9 лет назад

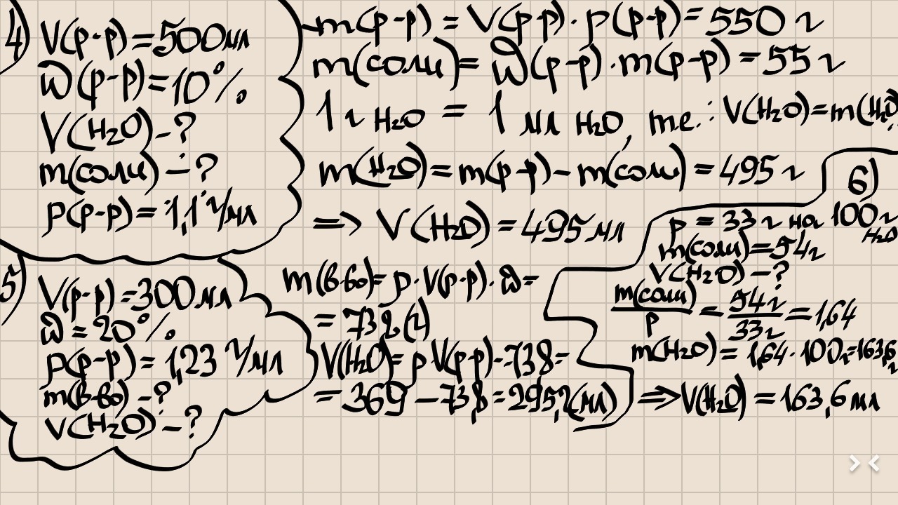
Помогите решить пожалуйста 4,5,6

Приложения:

Ответы

Ответ дал: Trawushka
0
Если что непонятно, пиши
Приложения:
Вас заинтересует