решите пожалуйста: Если определённое число разделить на 12 , то частное , делимое, делитель , сложенные вместе в результате дадут 64. что это за число?
Ответы
Ответ дал:
0
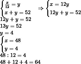
Делитель равен 12, значит, делимое и частное в сумме дают 64-12 = 52.
Пусть делимое x, частное y. По условию:

Пусть делимое x, частное y. По условию:
Приложения:
Ответ дал:
0
спасибо очень помог
Вас заинтересует
3 года назад
7 лет назад
7 лет назад
10 лет назад
10 лет назад