• Предмет: Алгебра
  • Автор: MilkyWayyy15
  • Вопрос задан 9 лет назад

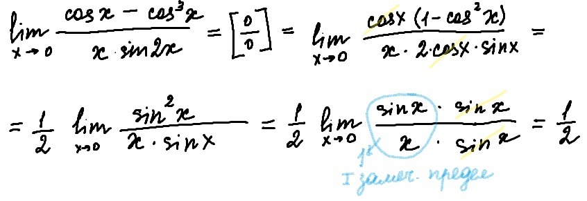
Помогите найти предел

Приложения:

Ответы

Ответ дал: UluanaV
0
Решение в прикреплённом файле.
Приложения:
Вас заинтересует