• Предмет: Математика
  • Автор: артем1ц
  • Вопрос задан 9 лет назад

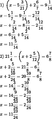
решите уравнение нужно только 1 и 2 уравнение

Приложения:

Ответы

Ответ дал: Trover
0
1);left(x-5frac3{21}right)+2frac67=9frac1{14}\x-5frac17=9frac1{14}-2frac{12}{14}\x-+frac2{14}=8frac{15}{14}-2frac{12}{14}\x=6frac3{14}+5frac2{14}\x=11frac5{14}\\2);21frac14-left(x+2frac5{12}right)=6frac78\x+2frac5{12}=21frac28-6frac78\x+2frac{10}{24}=20frac{10}8-6frac78\x=14frac38-2frac{10}{24}\x=14frac9{24}-2frac{10}{24}\x=13frac{33}{24}-2frac{10}{24}\x=11frac{23}{24}
Приложения:
Вас заинтересует