• Предмет: Алгебра
  • Автор: alena19951602
  • Вопрос задан 9 лет назад

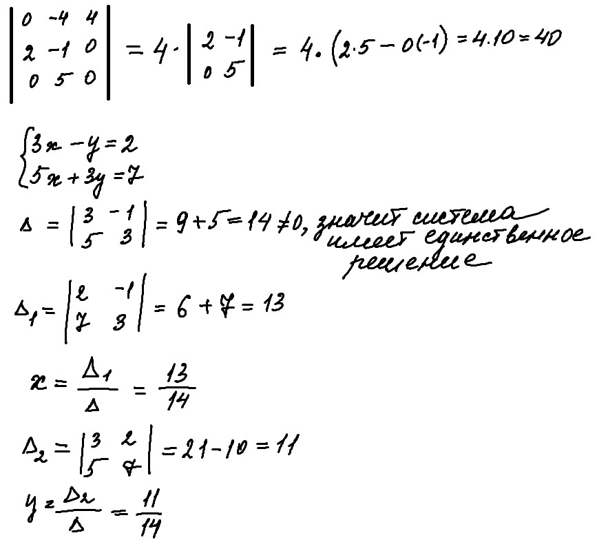
1 найти определитель, 2 решить систему

Приложения:

Ответы

Ответ дал: UluanaV
0
Решение в прикрепленном файле.
Приложения:
Вас заинтересует