• Предмет: Алгебра
  • Автор: Аноним
  • Вопрос задан 9 лет назад

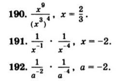
Алгебра 7 класс помогите плз .

Приложения:

Ответы

Ответ дал: Nimnul74
0
ответ на фотоооооооооооооооооооо
Приложения:
Вас заинтересует