• Предмет: Математика
  • Автор: milos2004
  • Вопрос задан 9 лет назад

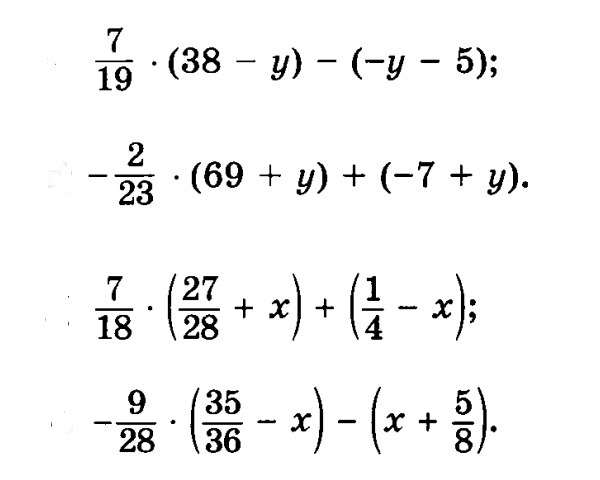
Раскройте скобки и упростите выражения. Помогите пожалуйста)

Приложения:

Ответы

Ответ дал: fant21
0
1) = - 2/23 · 69/1 - 2/23x - 7 + y = - 6 - 2/23y - 7 + y = - 13 + 21/23y
2) = 7/18 · 27/28 + 7/18x + 1/4 - x = 3/8 + 7/18x + 1/4 - x = 5/8 - 11/18x
Вас заинтересует