СРОЧНОООО ПОМОГИТЕЕЕ!!!найти значение других трех основных тригонометрических функций если cos α=15/17, 3π/2 < α < 2π.
Ответы
Ответ дал:
0
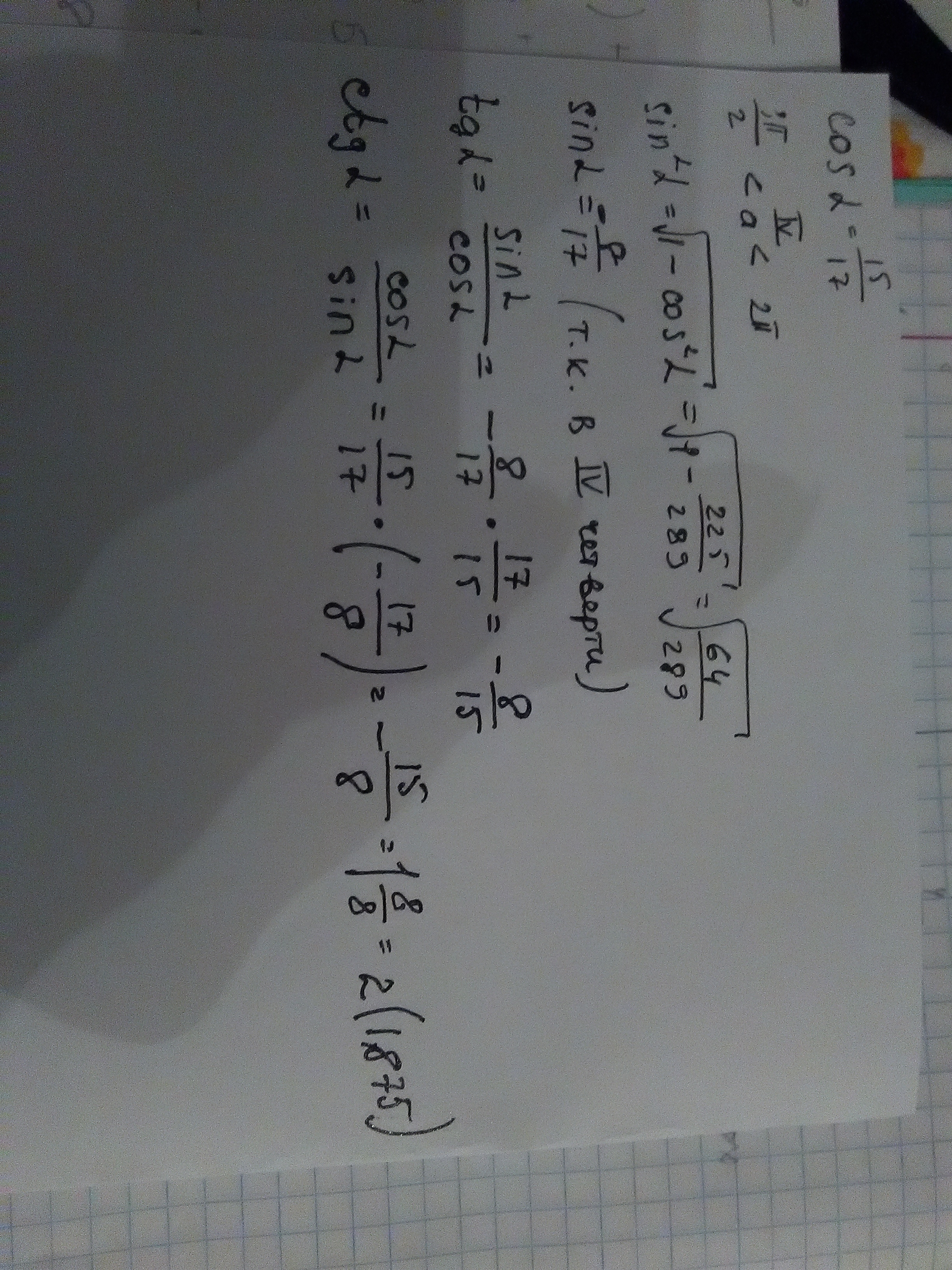
Ну тут очень просто.
Собственно вот:
tg и ctg в 4-й четверти тоже отрицательные.
Собственно вот:
tg и ctg в 4-й четверти тоже отрицательные.
Приложения:
Ответ дал:
0
спасиибо болшущие!!!очень выручили!!!
Ответ дал:
0
спасиибо большущие!!!очень выручили!!!
Вас заинтересует
2 года назад
7 лет назад
7 лет назад
10 лет назад
10 лет назад
10 лет назад