• Предмет: Математика
  • Автор: ЕкатеринаКаримова
  • Вопрос задан 9 лет назад

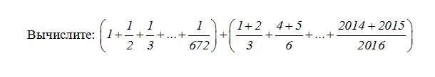
Помогите пожалуйста!

Приложения:

Ответы

Ответ дал: ВладимирБ
0
Решение смотри на фото
Приложения:
Вас заинтересует