• Предмет: Математика
  • Автор: minenkosweta
  • Вопрос задан 9 лет назад

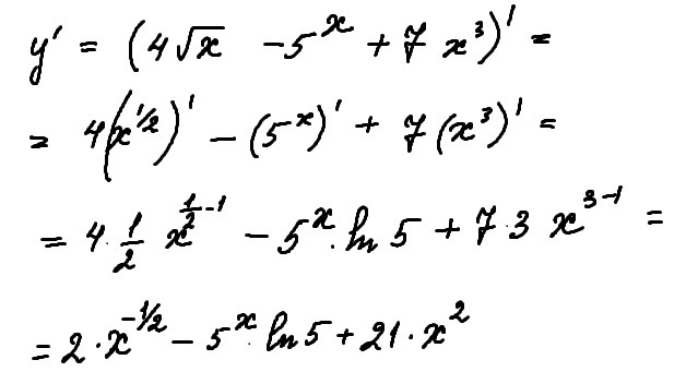
Вычислите производные функции .
y=4 корень из x - 5^x + 7x^3

Ответы

Ответ дал: UluanaV
0
Решение в прикрепленном файле.
Приложения:
Вас заинтересует