Помогите пожалуйста с химией!
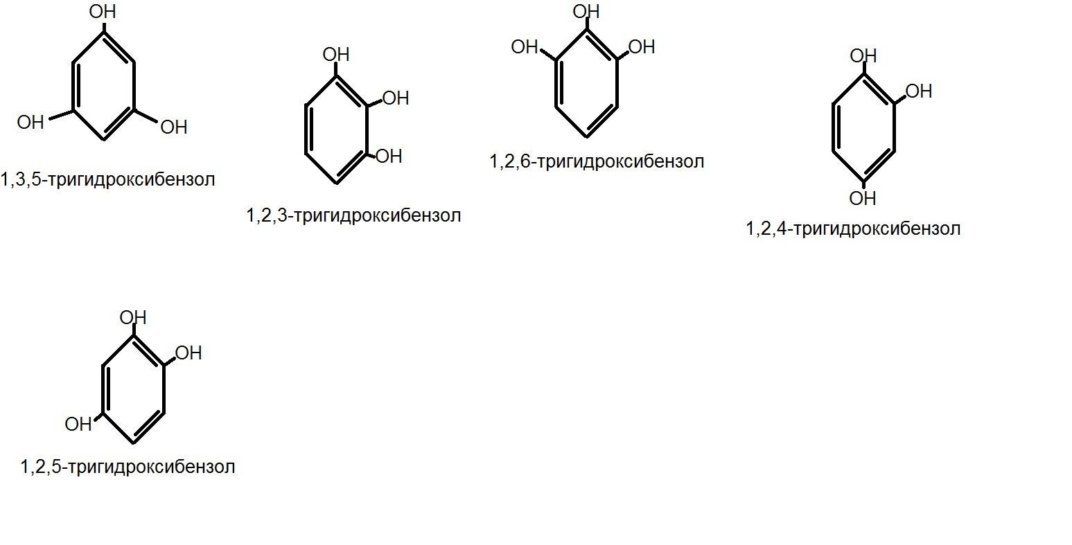
1) Напишите графические формулы всех изомерных фенолов
с молекулярной формулой С6Н3(ОН)3. Назовите вещества по международной
номенклатуре.
2)Напишите графические формулы всех изомерных фенолов
с молекулярной формулой С6Н3(СН3)(ОН)2. Назовите вещества по
международной номенклатуре.
Ответы
Ответ дал:
0
Первый это как бы исходный фенол - Флороглюцин называется. От него и пошли изомеры. Попробуй еще какие-нибудь самостоятельно сделай. Просто меняй гидроксогруппу (-OH), раз в задании сказано, что только "изомерных фенолов". Наверное это будет выглядить как-то так. Гарантию не даю
Приложения:

Вас заинтересует
2 года назад
7 лет назад
7 лет назад
9 лет назад
10 лет назад