• Предмет: Математика
  • Автор: зуе
  • Вопрос задан 9 лет назад

Пожалуйста, помогите!!!
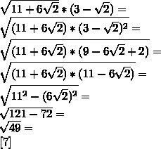
 sqrt{11+6 sqrt{2} } * (3 -  sqrt{2)} - упростите выражение
или
 frac{16+4 sqrt{x} + x}{64-x sqrt{x} } - сократите дробь

Ответы

Ответ дал: ShadoWofXaoS
0
смотри вложение
!!!!!!!!!!!!!!!!!!!!!!!!!!!!!!!!!!!!!!!!!!
Приложения:
Ответ дал: зуе
0
Спасибо Вам большое!!
Вас заинтересует