Ответы
Ответ дал:
0
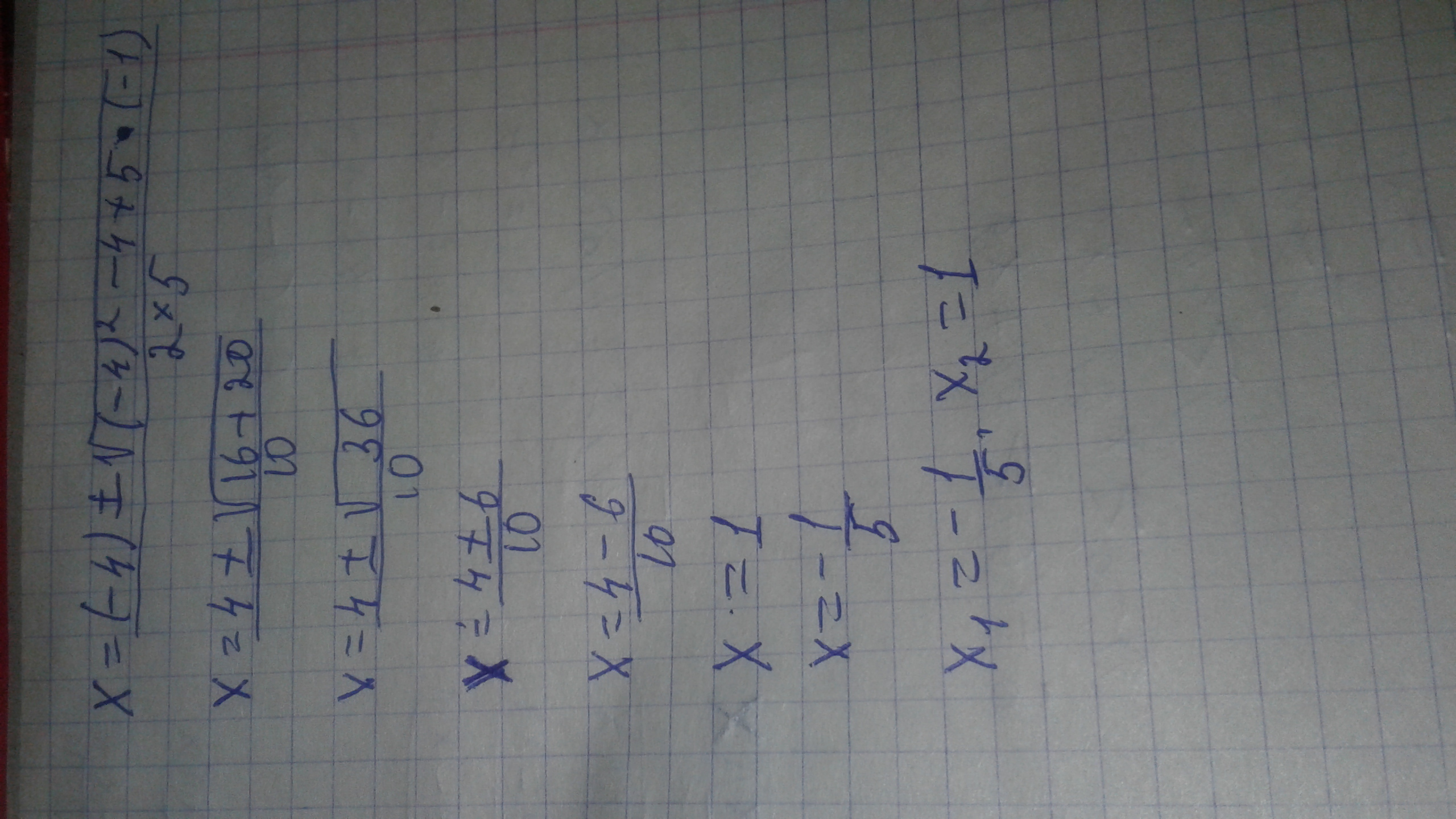
1. 5х²-4х-1=0
D=b²-4ac=(-4)²-4*5*(-1)=16+20=36
2. 3х-х²+10=0, -х²+3х+10=0, х²-3x-10=0
D=b²-4ac=(-3)²-4*1*(-10)=9+40=49
3. х²-6х+9=0
D=b²-4ac=(-6)²-4*1*9=36-36=0
4. 2х+3+2х²=0, 2х²+2х+3=0
D=b²-4ac=2²-4*2*3=4=-20
a) 6x²-5x=0
x(6x-5)=0
x=0, x=5/6 - два корня;
б) x²-4х+4=0
D=b²-4ac=(-4)²-4*1*4=16-16=0 - один корень;
в) 3x²-4=0
3x²=4
x²=4/3
x=2/√3, -2/√3 - два корня;
г) x²-4х+5=0
D=b²-4ac=(-4)²-4*1*5=16-20=-4 - ни одного корня.
D=b²-4ac=(-4)²-4*5*(-1)=16+20=36
2. 3х-х²+10=0, -х²+3х+10=0, х²-3x-10=0
D=b²-4ac=(-3)²-4*1*(-10)=9+40=49
3. х²-6х+9=0
D=b²-4ac=(-6)²-4*1*9=36-36=0
4. 2х+3+2х²=0, 2х²+2х+3=0
D=b²-4ac=2²-4*2*3=4=-20
a) 6x²-5x=0
x(6x-5)=0
x=0, x=5/6 - два корня;
б) x²-4х+4=0
D=b²-4ac=(-4)²-4*1*4=16-16=0 - один корень;
в) 3x²-4=0
3x²=4
x²=4/3
x=2/√3, -2/√3 - два корня;
г) x²-4х+5=0
D=b²-4ac=(-4)²-4*1*5=16-20=-4 - ни одного корня.
Ответ дал:
0
Если вы поняли что я написала ☺
Приложения:

Вас заинтересует
2 года назад
2 года назад
7 лет назад
9 лет назад
9 лет назад