Ответы
Ответ дал:
0
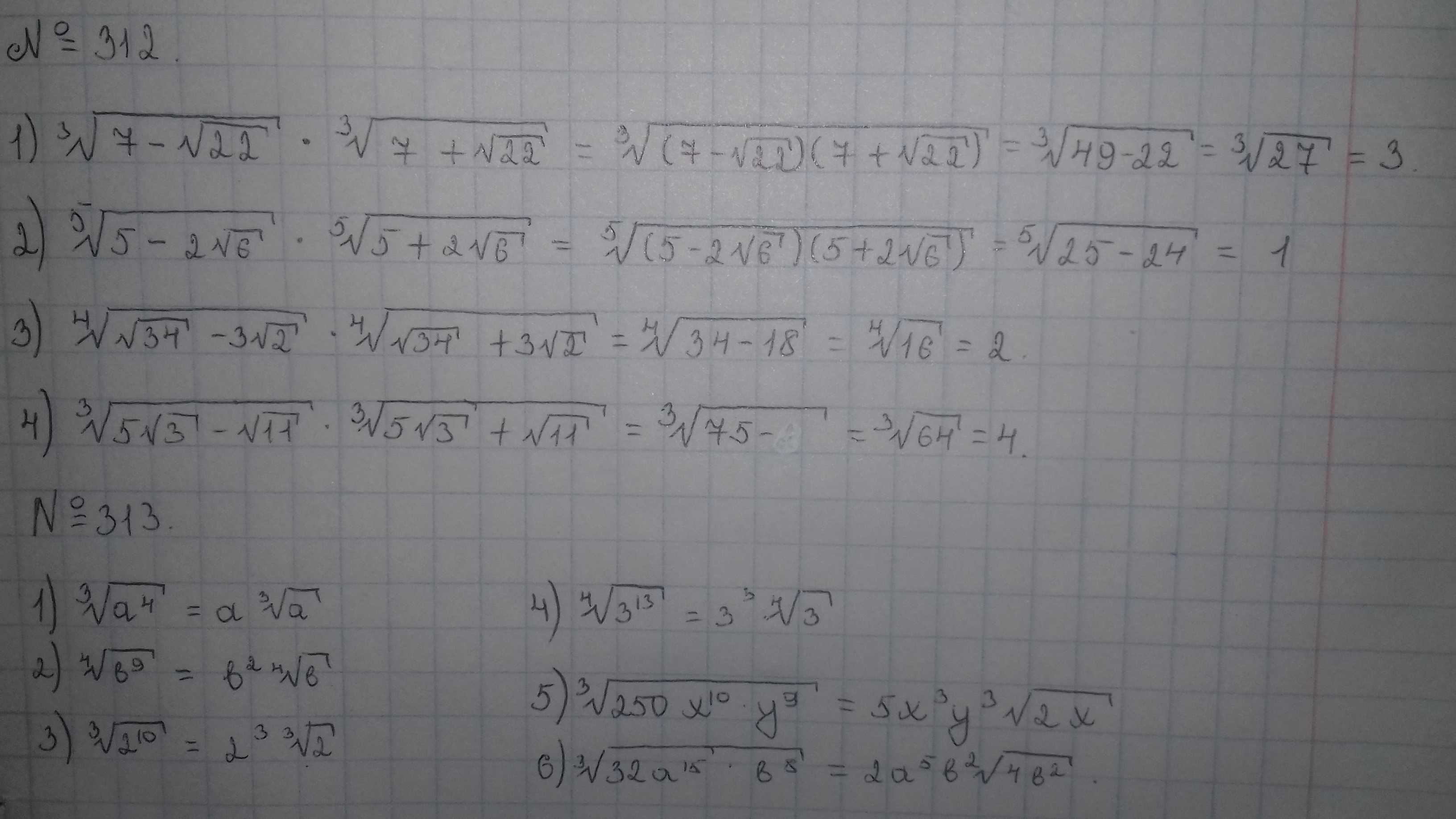
Решение во влажении.
Приложения:

Ответ дал:
0
Если есть дайте пожалуйста
Ответ дал:
0
Пожалуйста помогите
Вас заинтересует
2 года назад
2 года назад
7 лет назад
7 лет назад
9 лет назад
9 лет назад
10 лет назад