• Предмет: Алгебра
  • Автор: KatyaZheleznyak
  • Вопрос задан 9 лет назад

помогите хоть в чем нибудь прошу!!!

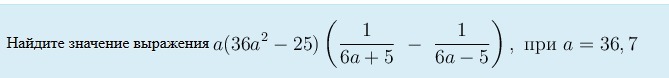
Приложения:

Ответа на этот вопрос пока нет. Попробуйте найти его через форму поиска.

Вас заинтересует
3 года назад