Ответы
Ответ дал:
0
Смотри ответы во вложении!
Приложения:

Ответ дал:
0
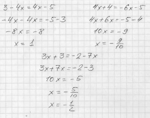
3-4х=4х-5
-4х-4х=-3-5 (при переносе знаки меняются)
-8х=-8 (считаем сумму с каждой стороны)
-х=-8/8
-х=-1
х=1
4х+4=-6х-5
4х+6х=-4-5
10х=-9
х=-9/10
х=-0.9
-4х-4х=-3-5 (при переносе знаки меняются)
-8х=-8 (считаем сумму с каждой стороны)
-х=-8/8
-х=-1
х=1
4х+4=-6х-5
4х+6х=-4-5
10х=-9
х=-9/10
х=-0.9
Приложения:

Вас заинтересует
2 года назад
7 лет назад
7 лет назад
9 лет назад
9 лет назад