• Предмет: Математика
  • Автор: lyuska96
  • Вопрос задан 9 лет назад

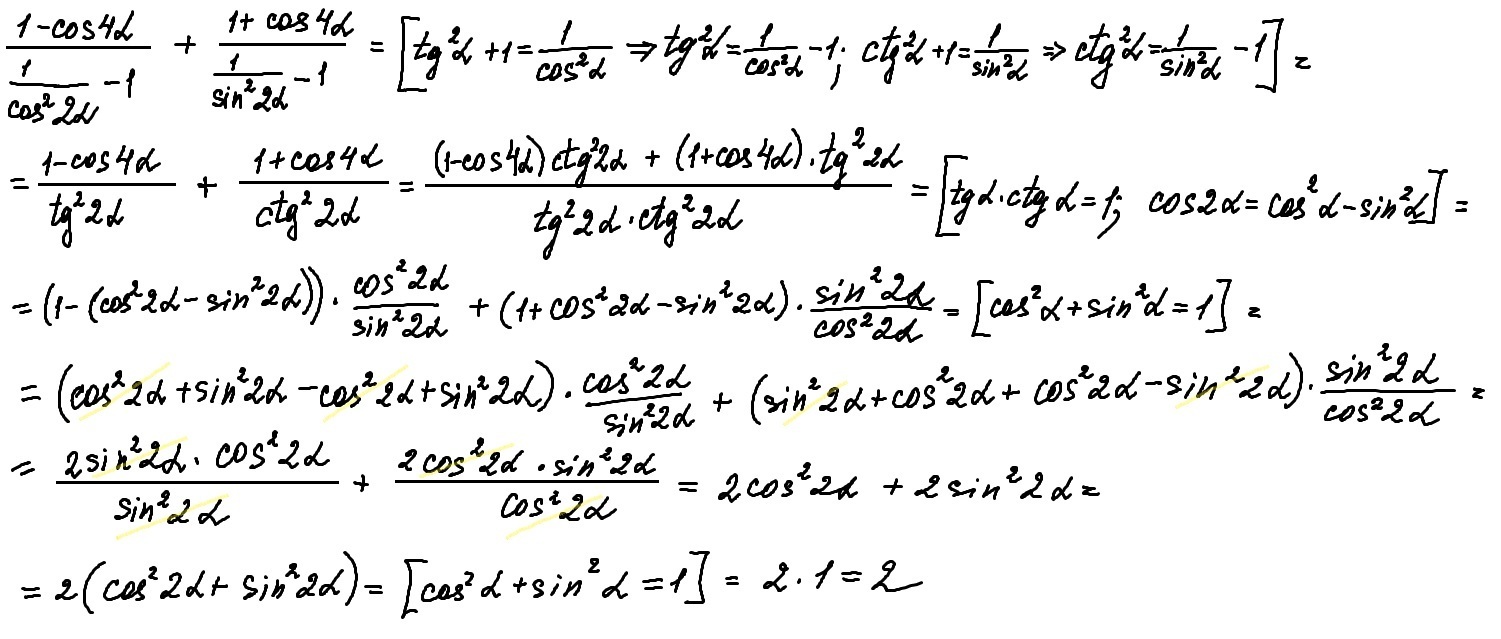
докажите тождество ((1-cos4a)/(cos^(-2)2a-1))+((1+сos4a)/(sin^(-2)2a-1))=2

Ответы

Ответ дал: UluanaV
0
Решение в прикрепленном файле.
В квадратных скобках тождества, которые были применены.
Приложения:
Ответ дал: lyuska96
0
а можете рассказать, как избавились от дроби в конце?
Ответ дал: UluanaV
0
Не поняла от какой именно дроби. Там где тангенс на котангенс умножается, это будет единица. В самом конце решения в первом слагаемом синусы сокращаются, во втором слагаемом косинусы сокращаются.
Вас заинтересует