• Предмет: Математика
  • Автор: MrDim0n
  • Вопрос задан 9 лет назад

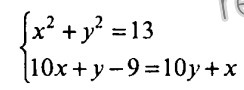
Решите систему уравнений пж. Способом выражения х через у (или наоборот).

Приложения:

Ответа на этот вопрос пока нет. Попробуйте найти его через форму поиска.

Вас заинтересует