• Предмет: Математика
  • Автор: КатяШ1
  • Вопрос задан 9 лет назад

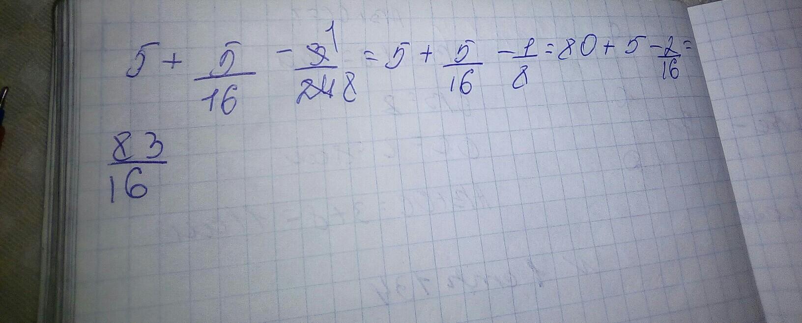
Как решить уравнение 5+5/16-3/24

Ответы

Ответ дал: Аноним
0

5+5/16-3/24= 5+5/16-1/8= 80+5-2/16= 83/16

Готово!!!

Ответ дал: angellina654
0

5+5/16-3/24=5+5/16-1/8=80+5-2/16=83/ 16

Приложения:
Вас заинтересует