• Предмет: Алгебра
  • Автор: roo20
  • Вопрос задан 9 лет назад

Кто решит даю 20 балов
помогитее

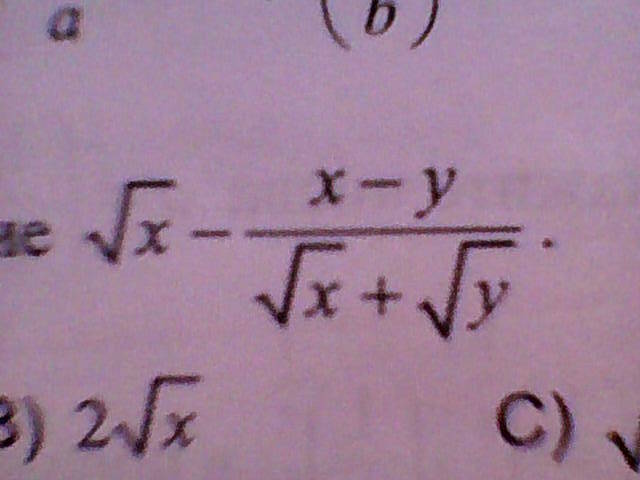
Приложения:

Ответы

Ответ дал: sangers1959
0
√x-(x-y)/(√x+√y)=√x-(√x+√y)(√x-√y)/(√x+√y)=√x-(√x-√y)=√x-√x+√y=√y.
Вас заинтересует