• Предмет: Алгебра
  • Автор: HD202
  • Вопрос задан 9 лет назад

помогите решить, пожалуйста, все перепробовал

Приложения:

Ответы

Ответ дал: IrkaShevko
0
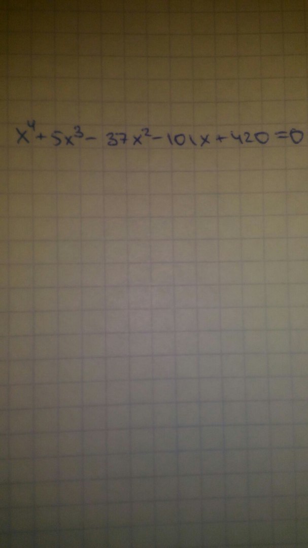
x^4+5x^3-37x^2-101x+420=0\
x^3(x+5)-37x(x+5)+84(x+5)=0\
(x+5)(x^3-37x+84)=0\
(x+5)(x-4)(x^2+4x-21)=0\
\
x^2+4x-21=0\
D=16+84=100\
x_1= frac{-4-10}{2} =-7\
x_2= frac{-4+10}{2} =3\
\
x_3=4\
x_4=-5

Ответ: -7; -5; 3; 4
Вас заинтересует