Разность между величинами острых углов прямоугольного треугольника составляет 54 градуса . Найди величины всех углов треугольника
Ответы
Ответ дал:
0
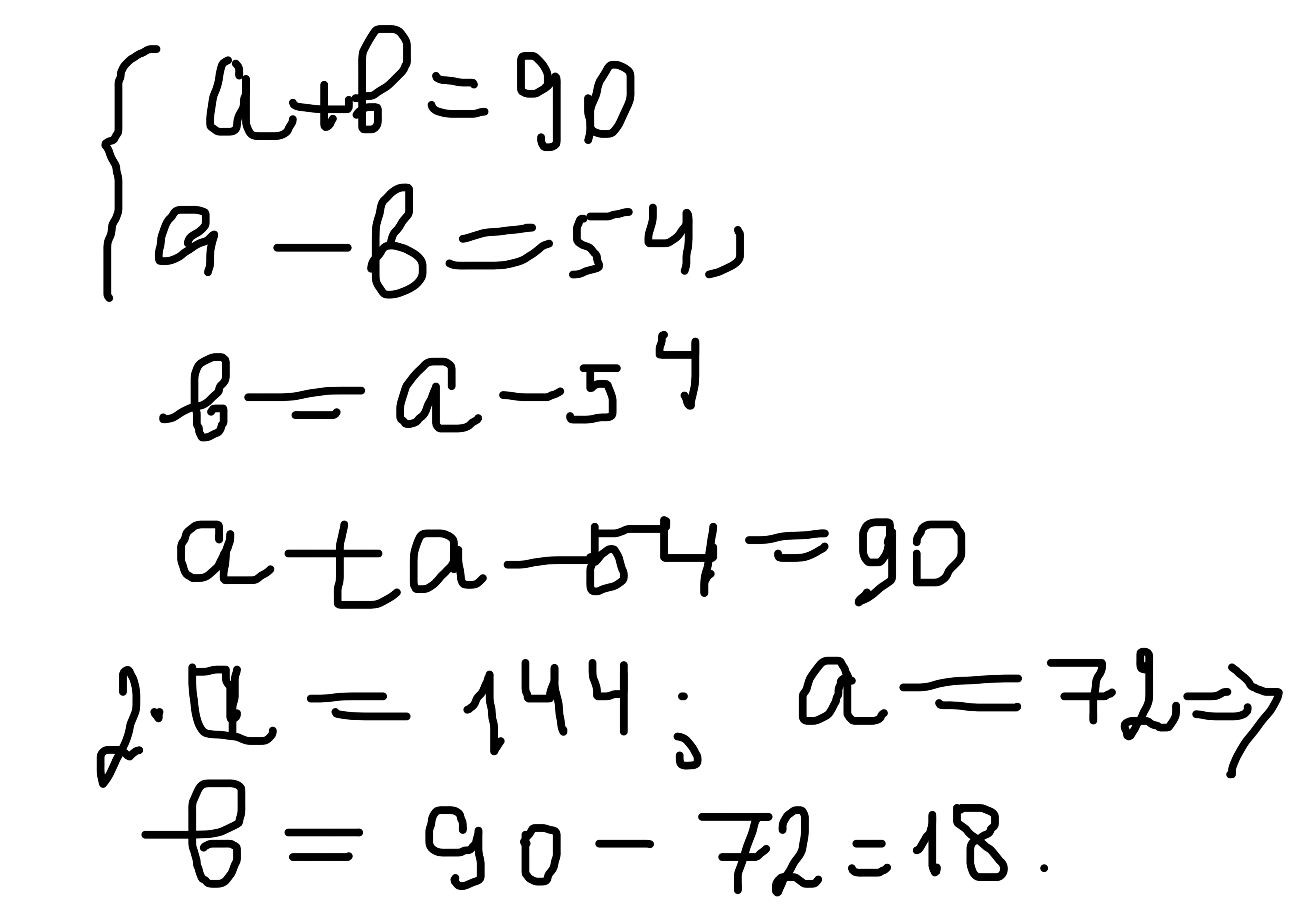
сумма всех углов треугольника равно 180 . так как один из углов прямой по условию (то есть 90 градусов ) , тогда сумма двух других :
180 -90 = 90 .
а и b у меня - два острых угла
напишем два выражения для этих углов ( из условия) , из одного выразим какой-нибудь угол , подставим полученное в другое выражение
180 -90 = 90 .
а и b у меня - два острых угла
напишем два выражения для этих углов ( из условия) , из одного выразим какой-нибудь угол , подставим полученное в другое выражение
Приложения:

Ответ дал:
0
/_ A = (90-54):2=72。。。。。。。。。。。
Приложения:

Вас заинтересует
2 года назад
7 лет назад
7 лет назад
9 лет назад
9 лет назад
10 лет назад
10 лет назад