Из пунктов А и Б, расстояние между которыми 19 км, вышли одновременно на встречу друг другу 2 пешехода и встретились в 9 км от А.
Найдите скорость пешехода, шедшего из А, если известно, что он шёл со скоростью большей на 1км/ч, чем пешеход, шедший из Б, и сделал по пути получасовую остановку.
Ответы
Ответ дал:
0
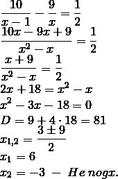
Пусть скорость первого x км/ч, тогда скорость второго x-1 км/ч. первый прошёл 9 км, второй 19-9 = 10 км. Первый затратил 9/x ч, второй 10/(x-1) ч, что на 0,5 ч больше.

Приложения:

Вас заинтересует
2 года назад
2 года назад
7 лет назад
7 лет назад
9 лет назад
10 лет назад