• Предмет: Математика
  • Автор: Юлиана7878
  • Вопрос задан 9 лет назад

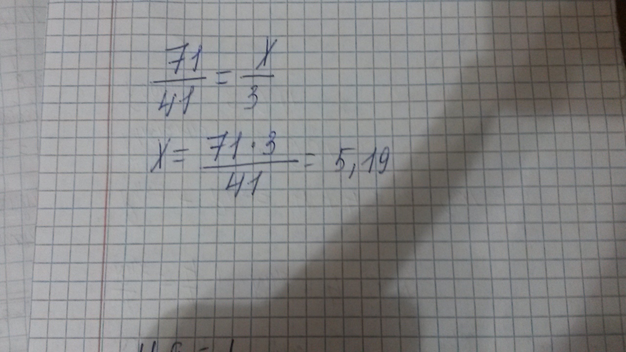
7 1 : 4 1 = х: 3
2. 2. 25
Решите уравнение пожалуйста.

Ответы

Ответ дал: BobyG
0
.....................
Приложения:
Вас заинтересует