• Предмет: Математика
  • Автор: KeRcH1Rus
  • Вопрос задан 9 лет назад

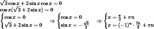
Решите: √3cos+2sinxcosx=0

Ответы

Ответ дал: Trover
0
sqrt3cos x+2sin xcos x=0\cos x(sqrt3+2sin x)=0\begin{cases}cos x=0\sqrt3+2sin x=0end{cases}Rightarrow begin{cases}cos x=0\sin x=-frac{sqrt3}2end{cases}Rightarrowbegin{cases}x=fracpi2+pi n\x=(-1)^ncdotfrac{7pi}6+pi nend{cases}
Приложения:
Вас заинтересует