• Предмет: Математика
  • Автор: Аноним
  • Вопрос задан 9 лет назад

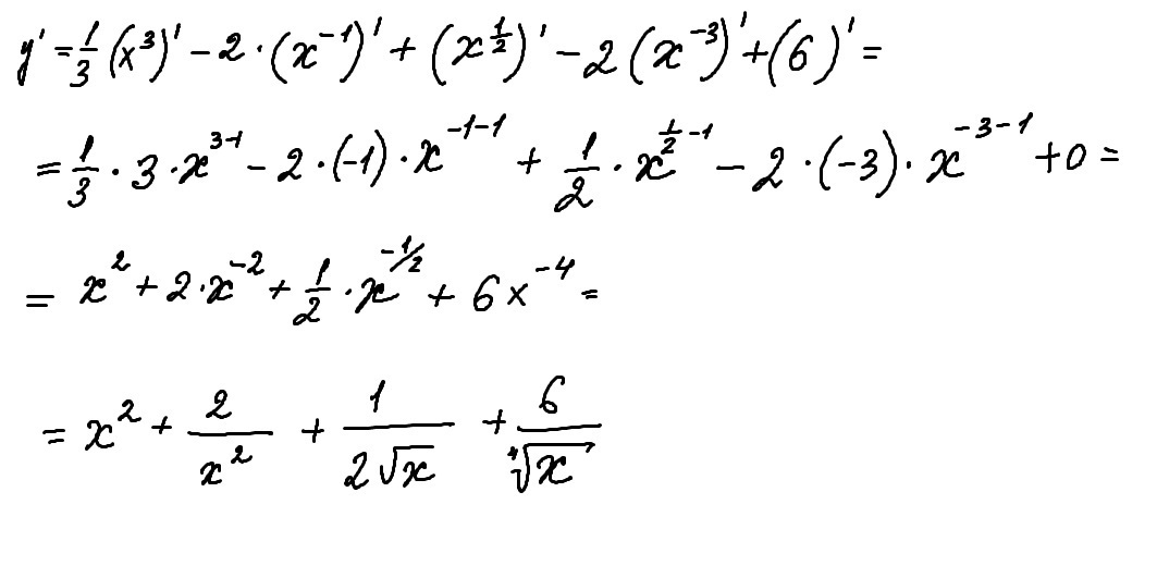
найдите производную функций:y= frac{1}{3}  x^{3} - frac{2}{x} + sqrt{x} - frac{2}{ x^{3} } +6

Ответы

Ответ дал: UluanaV
0
Решение в прикрепленном файле.
Приложения:
Ответ дал: Аноним
0
спасибо огромное, а ещё парочку функций не поможете разобрать?
Ответ дал: UluanaV
0
Может и помогу. Какие функции?
Ответ дал: Аноним
0
https://znanija.com/task/22304968
Вас заинтересует