Ответы
Ответ дал:
0
Решение в прикрепленном файле.
Приложения:

Ответ дал:
0
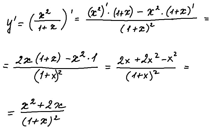
y'=(2*x*(1+x)-x²)/(1+x)²=(2*x+2*x²-x²)/(1+x)²=(x²+2*x)/(1+x)².
Приложения:

Вас заинтересует
2 года назад
2 года назад
9 лет назад
9 лет назад
10 лет назад