• Предмет: Математика
  • Автор: Хэйша
  • Вопрос задан 9 лет назад

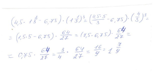
помогите пожалуйста решить этот пример ( 4,5 * 1 2/3 - 6,75 ) * ( 1 1/3 в кубе )

Ответы

Ответ дал: Vestnic
0
Вот так надо решать.
Приложения:
Вас заинтересует