Тело массой 1 кг, брошенное вертикально вверх со скоростью 10 м/с, абсолютно упруго ударяется о горизонтальную преграду, находящуюся на высоте 1,8 м и отскакивает о нее. Определите импульс силы.
С подробным решением
Ответы
Ответ дал:
0
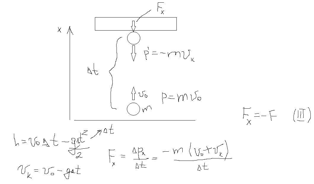
Как вариант могу предложить следующее решение (прикреплено).
Где F_x- сила действующая со стороны преграды на тело, а по 3 закону Ньютона обратная сила будет силой действующей на преграду со стороны тела (шара).
Где F_x- сила действующая со стороны преграды на тело, а по 3 закону Ньютона обратная сила будет силой действующей на преграду со стороны тела (шара).
Приложения:

Вас заинтересует
2 года назад
2 года назад
9 лет назад
9 лет назад
10 лет назад