• Предмет: Математика
  • Автор: Аноним
  • Вопрос задан 9 лет назад

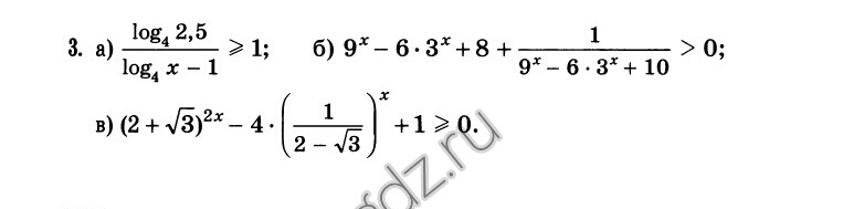
Срочно! ЛОГАРИФМЫ ДАЮ 35 БАЛЛОВ! ПОДРОББНОЕ РЕШЕНИЕ

Приложения:

Ответы

Ответ дал: adklimova
0
первые 2 задания. остальное лень. должно быть правильно
Приложения:
Ответ дал: Аноним
0
Спасибо братааан
Вас заинтересует