• Предмет: Алгебра
  • Автор: 2017192004
  • Вопрос задан 9 лет назад

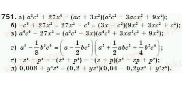
будьласка допоможіть розв'язати

Приложения:

Ответы

Ответ дал: Pandovna
0
Так там уже ответ написан
Вас заинтересует