• Предмет: Математика
  • Автор: Лизззооооооооооок
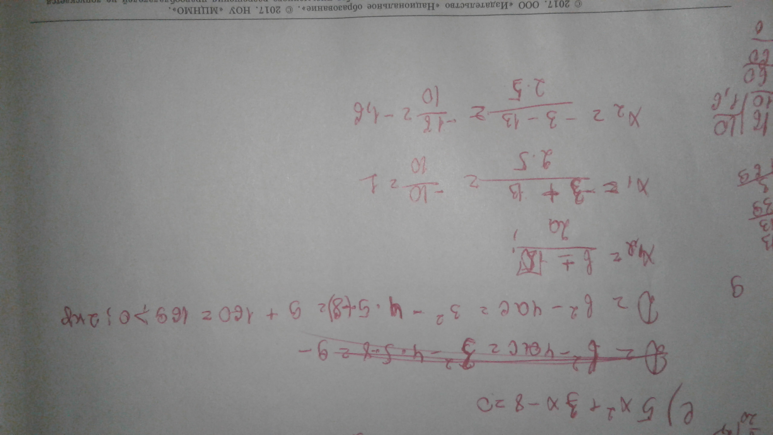
  • Вопрос задан 9 лет назад

решите пожалуйста, что сможете. заранее спасибо

Приложения:

Ответы

Ответ дал: Issu1503d001
0
как то так если не правильно извините
Приложения:
Вас заинтересует