Ответы
Ответ дал:
0
Странные ответы в б и в, но ошибки у себя я, вроде, не нашла)
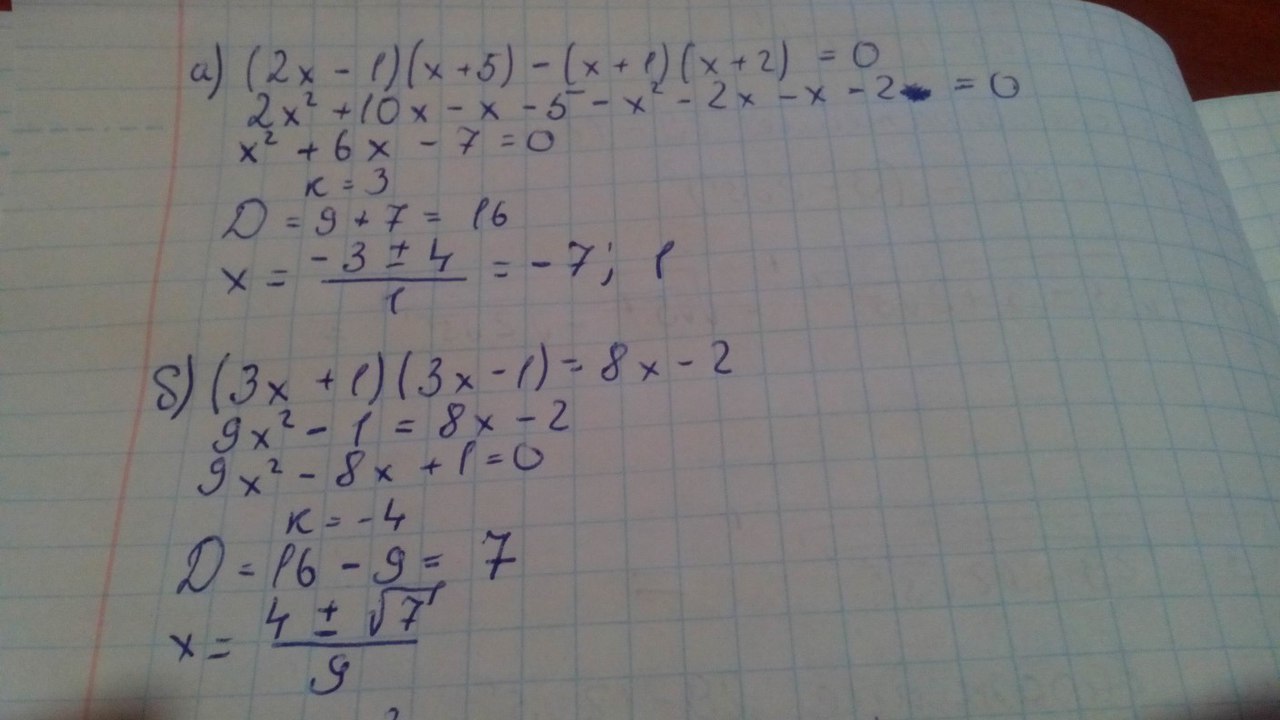
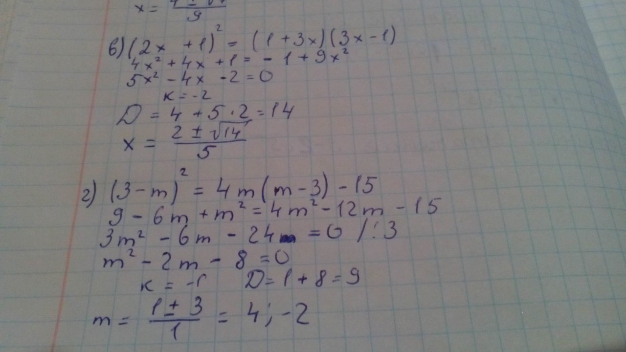
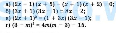
Приложения:


Вас заинтересует
2 года назад
2 года назад
7 лет назад
9 лет назад
9 лет назад