• Предмет: Математика
  • Автор: Аноним
  • Вопрос задан 9 лет назад

Пропустив занятие, очень сложно разобраться, выручайте, пожалуйста!!!

Приложения:

Ответы

Ответ дал: UluanaV
0
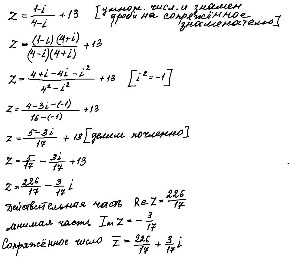
Решение седьмой задачи в прикрепленном файле.
Приложения:
Вас заинтересует