Ответы
Ответ дал:
0
раскрываем скобки:
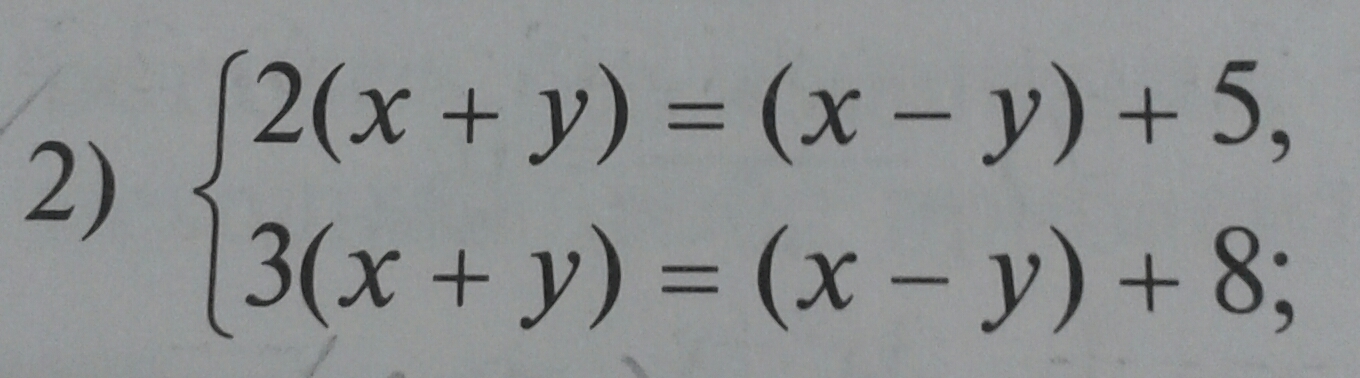
1) 2x+2y=x-y+5; x+3y=5
2) 3x+3y=x-y+8; 2x+4y=8
и решаем:
выражаем х:
x=5-3y и подставляем:
2(5-3y)+4y=8
10-6y+4y=8
-2y=-2; y=1
x=5-3=2
Ответ: (2;1)
1) 2x+2y=x-y+5; x+3y=5
2) 3x+3y=x-y+8; 2x+4y=8
и решаем:
выражаем х:
x=5-3y и подставляем:
2(5-3y)+4y=8
10-6y+4y=8
-2y=-2; y=1
x=5-3=2
Ответ: (2;1)
Вас заинтересует
2 года назад
2 года назад
10 лет назад
10 лет назад