Ответы
Ответ дал:
0
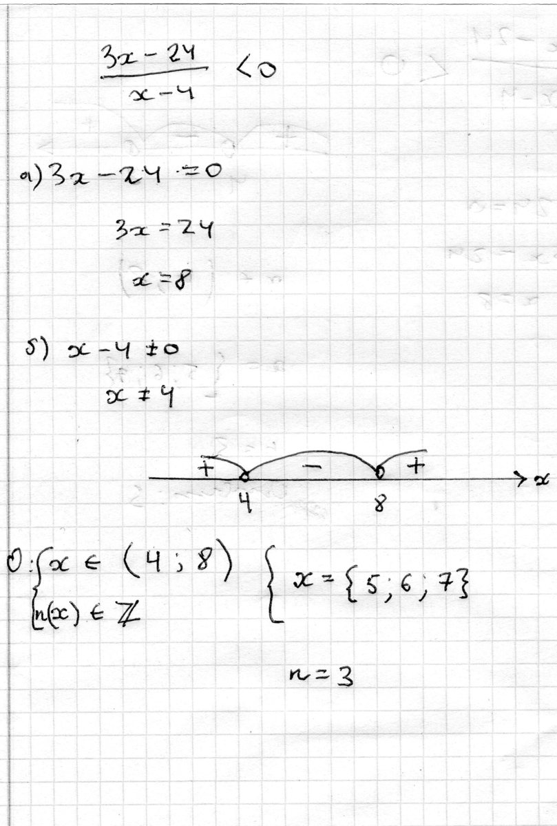
1) решаем числитель
2) решаем знаменатель
3) через метод интервала находим решение неравенства
4) считаем целые числа
(решение прикрепил)
Приложения:

Вас заинтересует
2 года назад
2 года назад
8 лет назад
10 лет назад
10 лет назад
10 лет назад