• Предмет: Алгебра
  • Автор: ЛаНики
  • Вопрос задан 11 лет назад

ПОМОГИТЕ ПОЖАЛУЙСТА!

1) Функция задана формулой y=x^2-4.

a)Найдите значение функции при x=0;-3.

б)При каких значениях  x  значение функции равно -3.

2) Функция задана формулой f(x)=2x-5.

a) Найдите  f(0),f(-1.5).

б) Найдите значения x , при которых f(x)=18 ; f(x)= 0.

4) Определите нули функции y=x^2+3x.

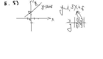
5) Постройте график функции;

а) y=-1/3x      б)y=1,5x+6      в) y=-0,5+1.

8) Постройте график функции;

   а) y=-2x-0,5   б) y=6/x.

Ответы

Ответ дал: KatyaCheb
0

1.А)Найти значение функции,значит подствавить х в функцию 

у=0^2-4=0

4.это обычная квадратичная функция,здесь нули фунции только х=0 

8.Добавить вложения

Приложения:
Вас заинтересует