• Предмет: Алгебра
  • Автор: ZamanovIldus
  • Вопрос задан 9 лет назад

Помогите пожалуйста с заданием!

Приложения:

Ответы

Ответ дал: pentV
0
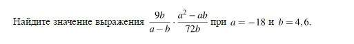
 frac{9b}{a-b}* frac{ a^{2}-ab }{72b}= frac{9b*a*(a-b)}{(a-b)*72b} = frac{a}{8} =- frac{18}{8}=- frac{9}{4}=-2.25
Ответ дал: ZamanovIldus
0
спасибо большое
Ответ дал: pentV
0
пиши
Вас заинтересует