Для проверки.
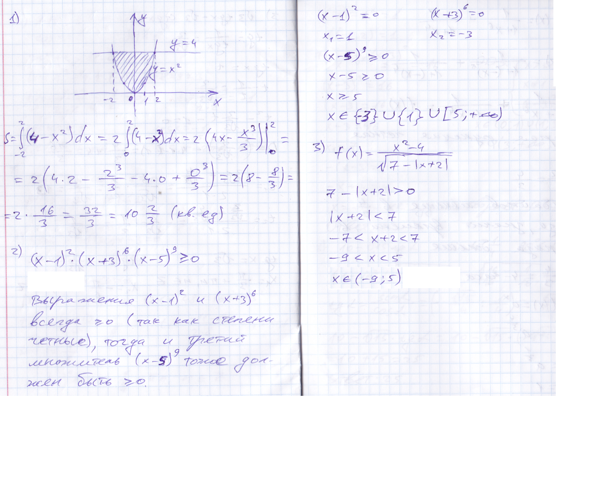
1. Вычислите площадь фигуры, ограниченной графиком функции y = x^2 и y = 4.
У меня получилось 32/3.
2. Решите неравенство: (x - 1)^2 * (x + 3)^6 * (x - 5)^9 >= 0
У меня получился промежуток {-3} U {1} U [5; + беск)
3. Найти область определения функции:
У меня получилось (-9;5)
4. Векторы a и b образуют угол 150, |a| =6, |b| = 2sqrt(3). Тогда |a + b| = ?
У меня получилось 2sqrt(3)
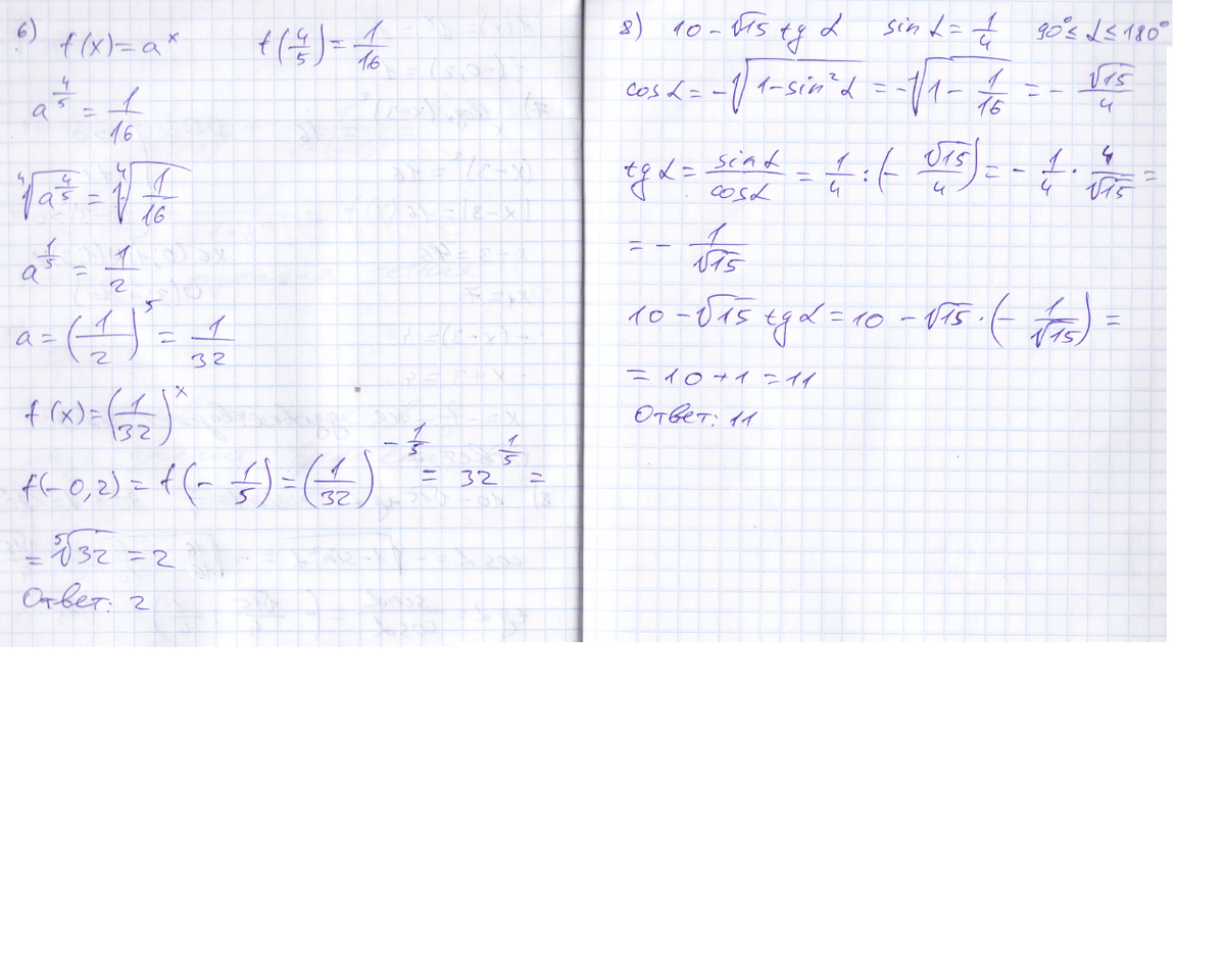
Какая из функций является четной:
У меня получилось 7.
8. Вычислите 10 - sqrt15 * tga, если sina = 1/4 и 90 < a < 180.
У меня получилось 11.
Ответы
Ответ дал:
0
Во вложении
--------------------------------------------------
Приложения:



Вас заинтересует
2 года назад
2 года назад
8 лет назад
8 лет назад
10 лет назад
10 лет назад
10 лет назад