• Предмет: Алгебра
  • Автор: Ida4
  • Вопрос задан 11 лет назад

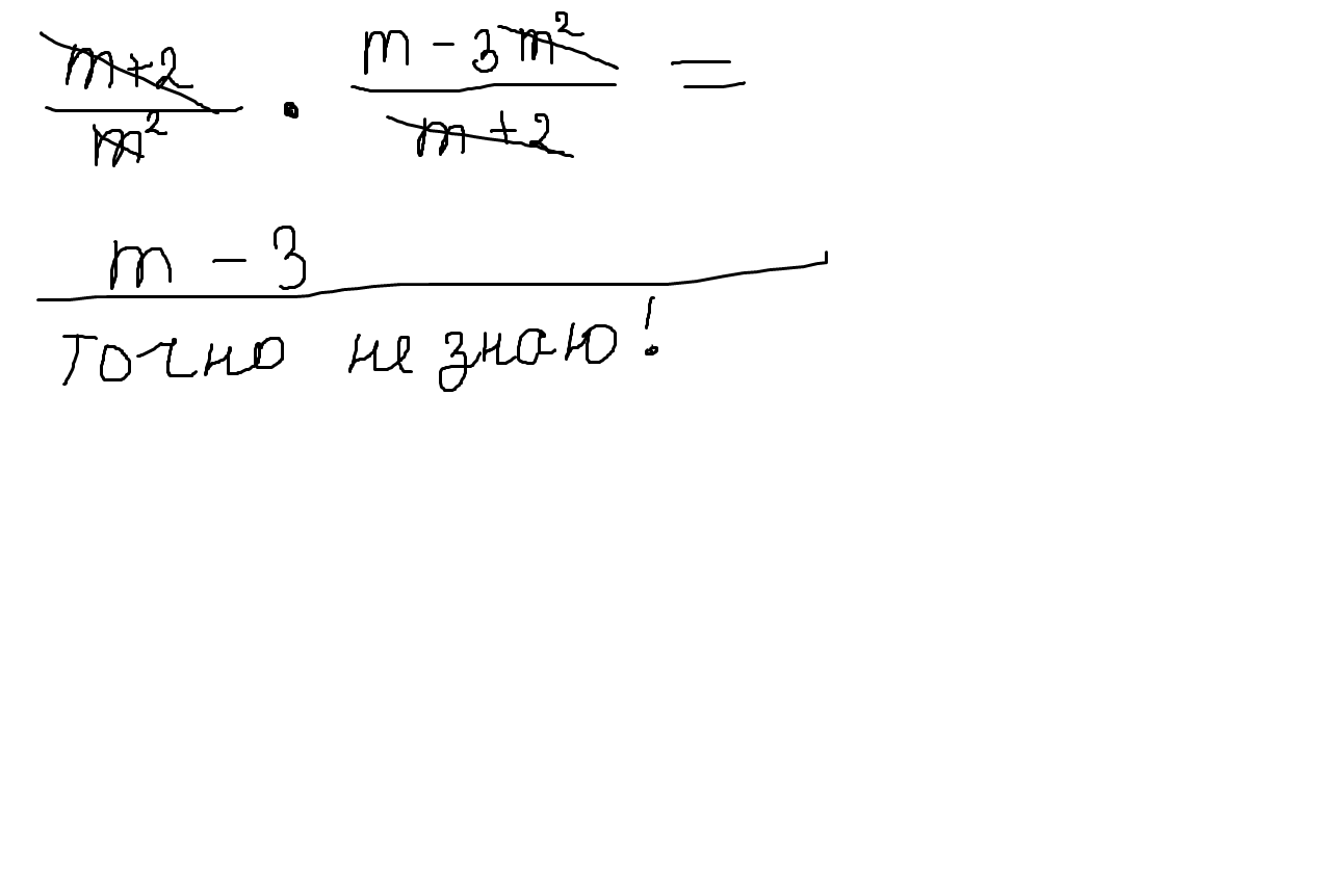
упростите выражение: frac{m+2}{m^2}*frac{m-3m^2}{m+2}

Ответы

Ответ дал: русская25
0

Во вложении смотри решение...
вроде как-то так... 

Приложения:
Ответ дал: LoveЮлия
0

точно не знаю,но думаю так)

Приложения:
Вас заинтересует