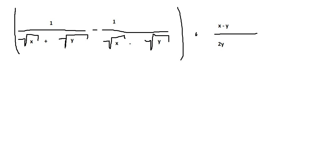
Решите пример по алгебре, основываясь на применении свойств квадратного корня, желательно подробно
Приложения:

Ответы
Ответ дал:
0
Для дробей при сложении нужно найти общий знаменатель и дополнительные множители.
Приложения:

Вас заинтересует
2 года назад
2 года назад
7 лет назад
7 лет назад
9 лет назад
9 лет назад
10 лет назад