• Предмет: Алгебра
  • Автор: Alive116
  • Вопрос задан 9 лет назад

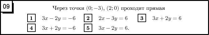
Пожалуйста помогите по алгебре отдам половину баллов

Приложения:

Ответы

Ответ дал: Аружан200201
0
надеюсь что правильно
Приложения:
Вас заинтересует