• Предмет: Алгебра
  • Автор: Fm00
  • Вопрос задан 9 лет назад

Алгебра 8 класс
Решите уравнения:
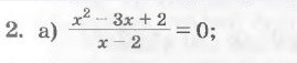
№2 a) x^2-3x+2/x-2=0
б)5/x^2+2x+1=2/1-x^2+1/x-1

Приложения:

Ответы

Ответ дал: костя539
0
а)х^2-3х+2=0
д=9-4×1×2=1
х1=3-1/2=1
х2=3+1/2=2
Вас заинтересует