• Предмет: Алгебра
  • Автор: MayaBlacknosic1
  • Вопрос задан 9 лет назад

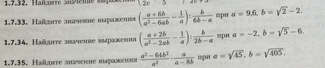
Помогите решить пожалуйста номер 1.7.33

Приложения:

Ответа на этот вопрос пока нет. Попробуйте найти его через форму поиска.

Вас заинтересует