• Предмет: Алгебра
  • Автор: Detektivka
  • Вопрос задан 11 лет назад

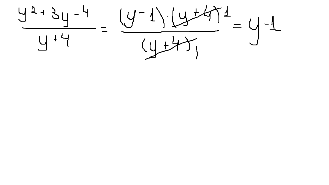
упростите выражение: y^2+3y-4/y+4

Ответы

Ответ дал: BriannaV
0

Надеюсь понятно написала.

Приложения:
Вас заинтересует