• Предмет: Алгебра
  • Автор: MichelO
  • Вопрос задан 9 лет назад

Задание на фото, помогите пожалуйста

Приложения:

Ответы

Ответ дал: MizoriesKun
0
а²-81         (а-9)(а+9)      а-9           -0.5-9
----------- = --------------- = ----------      -------- = 9.5
2а²+18а    2а(а+9)            2а           -0.5*2

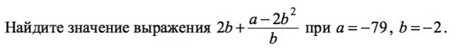
        a-2b²       2b²+a-2b²        a            -79
2b + --------- = --------------- = -------       ------- = 39,5
           b               b                 b             -2
Вас заинтересует