• Предмет: Геометрия
  • Автор: TROLL1998
  • Вопрос задан 11 лет назад

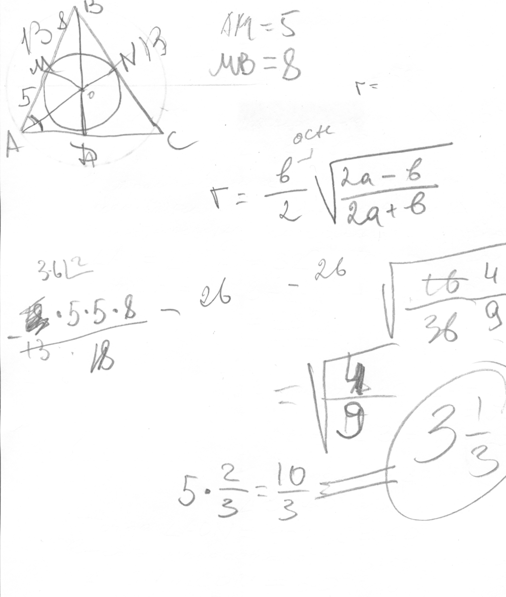
Дано: треугольник ABC, AB=BC M,N, и D - точки касания сторон и вписанной окружности AM=5, MB=8.

НАЙТИ:

а) периметр треугольника ABC

б) радиус вписанной окружности

 

ОЧЕНЬ НАДО ПОТОМ ОТДАМ ЕЩЁ 14 ПТК

 

Ответы

Ответ дал: Andr1806
0

Раз AB=BC, то треугольник ABC - равнобедренный, а в нем:

Биссектриса, медиана, высота и серединный перпендикуляр, проведённые к основанию, совпадают между собой. Центры вписанной и описанной окружностей лежат на этой линии.

Сторона АВ = АМ+МВ = 13 = ВС.

Прямоугольные треугольники АОМ и АОD равны, так как АО - биссектриса, углы ОАМ и ОАD равны, ОМ и ОD -равны (радиус) а гипотенуза общая. Значит АМ = АD = 5.

Значит стороны в треугольнике равны 13, 13 и 10. А периметр = 36.

Радиус вписанной окружности равен

r = b/2√(2a-b)/2a+b) = 10/2*√16/36 = 5*2/3 = 10/3 = 3и1/3.

 

 

Приложения:
Вас заинтересует