Ответы
Ответ дал:
0
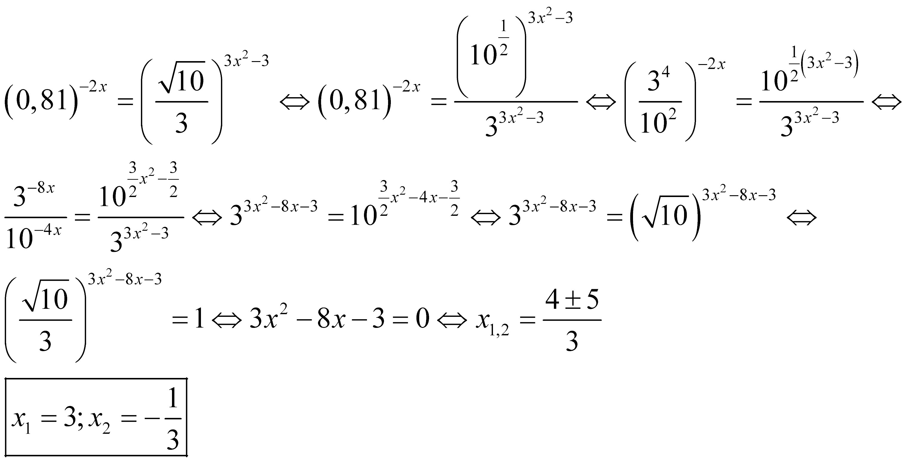
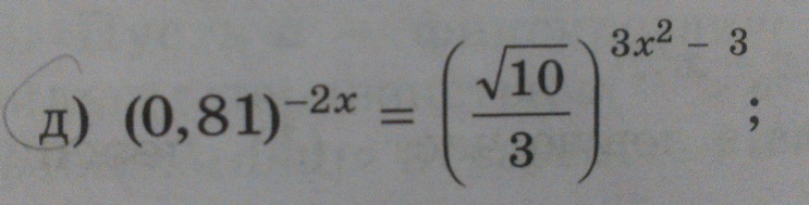
Решение находится в файле.
Приложения:

Ответ дал:
0
https://znanija.com/task/22419418 ПОМОГИТЕ ПОЖАЛУЙСТА!
Вас заинтересует
7 лет назад
7 лет назад
9 лет назад
9 лет назад
10 лет назад
10 лет назад